MetaVault
Home
List of Compounds
MetaVault | Metabolites database
Explore detailed information on metabolites including formula, pathways, and enzymes.
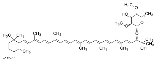
(2'S)-Deoxymyxol 2'-(2,4-di-O-methyl-alpha-L-fucoside)
MDBID
MDB00318
Formula
C
48
H
70
O
6
Pathway
00906
Carotenoid biosynthesis
Enzyme
1.14.13.-
2D structure
Wireframe
Stick
Ball & Stick
Use mouse scroll to zoom in/out and right click for more options
Reactions Involving This Metabolite (KEGG)
R07553
R07554
R07852
← Back to Home