MetaVault
Home
List of Compounds
MetaVault | Metabolites database
Explore detailed information on metabolites including formula, pathways, and enzymes.
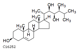
(22R,23R)-22,23-Dihydroxycampesterol
MDBID
MDB00416
Formula
C
28
H
48
O
3
Pathway
00905
Brassinosteroid biosynthesis
Enzyme
1.14.14.147
2D structure
Wireframe
Stick
Ball & Stick
Use mouse scroll to zoom in/out and right click for more options
Reactions Involving This Metabolite (KEGG)
R07786
R07789
← Back to Home