MetaVault
Home
List of Compounds
MetaVault | Metabolites database
Explore detailed information on metabolites including formula, pathways, and enzymes.
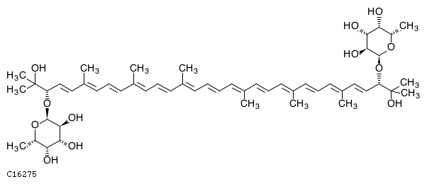
(2S,2'S)-Oscillol 2,2'-di(alpha-L-fucoside)
MDBID
MDB00339
Formula
C
52
H
76
O
12
Pathway
00906
Carotenoid biosynthesis
Enzyme
2D structure
Wireframe
Stick
Ball & Stick
Use mouse scroll to zoom in/out and right click for more options
Reactions Involving This Metabolite (KEGG)
R07845
← Back to Home