MetaVault
Home
List of Compounds
MetaVault | Metabolites database
Explore detailed information on metabolites including formula, pathways, and enzymes.
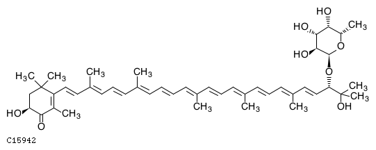
(3S,2'S)-4-Ketomyxol 2'-alpha-L-fucoside
MDBID
MDB00322
Formula
C
46
H
64
O
8
Pathway
00906
Carotenoid biosynthesis
01110
Biosynthesis of secondary
Enzyme
1.14.99.64
2D structure
Wireframe
Stick
Ball & Stick
Use mouse scroll to zoom in/out and right click for more options
Reactions Involving This Metabolite (KEGG)
R07557
← Back to Home