MetaVault
Home
List of Compounds
MetaVault | Metabolites database
Explore detailed information on metabolites including formula, pathways, and enzymes.
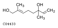
(6E)-8-Hydroxylinalool;
MDBID
MDB00025
Formula
C
10
H
18
O
2
Pathway
00902
Monoterpenoid biosynthesis
01110
Biosynthesis of secondary
Enzyme
1.14.14.84
2D structure
Wireframe
Stick
Ball & Stick
Use mouse scroll to zoom in/out and right click for more options
Reactions Involving This Metabolite (KEGG)
R04366
R09922
R09923
R09924
← Back to Home