MetaVault
Home
List of Compounds
MetaVault | Metabolites database
Explore detailed information on metabolites including formula, pathways, and enzymes.
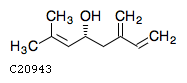
(R)-Ipsdienol;
MDBID
MDB00023
Formula
C
10
H
16
O
Pathway
00902
Monoterpenoid biosynthesis
01110
Biosynthesis of secondary
Enzyme
1.1.1.386 1.14.14.31
2D structure
Wireframe
Stick
Ball & Stick
Use mouse scroll to zoom in/out and right click for more options
Reactions Involving This Metabolite (KEGG)
R10918
R10919
R11055
← Back to Home