MetaVault
Home
List of Compounds
MetaVault | Metabolites database
Explore detailed information on metabolites including formula, pathways, and enzymes.
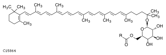
1'-Hydroxy-gamma-carotene glucoside ester
MDBID
MDB00316
Formula
C
47
H
67
O
7
R
Pathway
00906
Carotenoid biosynthesis
01110
Biosynthesis of secondary
Enzyme
2D structure
Wireframe
Stick
Ball & Stick
Use mouse scroll to zoom in/out and right click for more options
Reactions Involving This Metabolite (KEGG)
R07547
← Back to Home