MetaVault
Home
List of Compounds
MetaVault | Metabolites database
Explore detailed information on metabolites including formula, pathways, and enzymes.
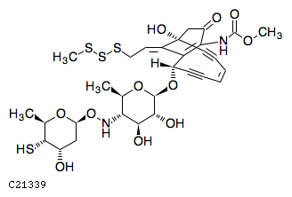
4-Deoxy-4-thio-alpha-D-digitoxosyl-calicheamicin T0
MDBID
MDB00673
Formula
C
30
H
38
N
2
O
11
S
4
Pathway
01059
Biosynthesis of enediyne antibiotics
01100
Metabolic pathways
01110
Biosynthesis of secondary
Enzyme
2.4.1.-
2D structure
Wireframe
Stick
Ball & Stick
Use mouse scroll to zoom in/out and right click for more options
Reactions Involving This Metabolite (KEGG)
R11418
R11419
← Back to Home