MetaVault
Home
List of Compounds
MetaVault | Metabolites database
Explore detailed information on metabolites including formula, pathways, and enzymes.
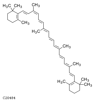
9-cis-beta-Carotene
MDBID
MDB00358
Formula
C
40
H
56
Pathway
00906
Carotenoid biosynthesis
01110
Biosynthesis of secondary
Enzyme
1.13.11.68 5.2.1.14
2D structure
Wireframe
Stick
Ball & Stick
Use mouse scroll to zoom in/out and right click for more options
Reactions Involving This Metabolite (KEGG)
R10282
R10557
← Back to Home