MetaVault
Home
List of Compounds
MetaVault | Metabolites database
Explore detailed information on metabolites including formula, pathways, and enzymes.
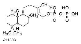
9alpha-Copalyl diphosphate;
MDBID
MDB00249
Formula
C
20
H
36
O
7
P
2
Pathway
00904
Diterpenoid biosynthesis
01110
Biosynthesis of secondary
Enzyme
4.2.3.33 4.2.3.34 4.2.3.35 4.2.3.42
2D structure
Wireframe
Stick
Ball & Stick
Use mouse scroll to zoom in/out and right click for more options
Reactions Involving This Metabolite (KEGG)
R06312
R06313
R06314
R06315
R09115
R09116
R09117
R09899
← Back to Home