MetaVault
Home
List of Compounds
MetaVault | Metabolites database
Explore detailed information on metabolites including formula, pathways, and enzymes.
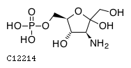
Aminofructose 6-phosphate;
MDBID
MDB00593
Formula
C
6
H
14
NO
8
P
Pathway
01051
Biosynthesis of ansa
01110
Biosynthesis of secondary
Enzyme
2.2.1.1 5.3.1.-
2D structure
Wireframe
Stick
Ball & Stick
Use mouse scroll to zoom in/out and right click for more options
Reactions Involving This Metabolite (KEGG)
R06589
R06590
← Back to Home