MetaVault
Home
List of Compounds
MetaVault | Metabolites database
Explore detailed information on metabolites including formula, pathways, and enzymes.
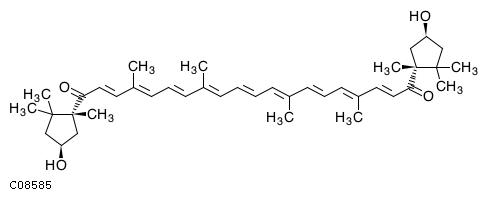
Capsorubin
MDBID
MDB00370
Formula
C
40
H
56
O
4
Pathway
00906
Carotenoid biosynthesis
01110
Biosynthesis of secondary
Enzyme
5.3.99.8
2D structure
Wireframe
Stick
Ball & Stick
Use mouse scroll to zoom in/out and right click for more options
Reactions Involving This Metabolite (KEGG)
R07320
← Back to Home