MetaVault
Home
List of Compounds
MetaVault | Metabolites database
Explore detailed information on metabolites including formula, pathways, and enzymes.
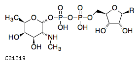
NDP-2-methylamino-2,6-dideoxy-D-galactose
MDBID
MDB00657
Formula
C
12
H
24
NO
13
P
2
R
Pathway
01059
Biosynthesis of enediyne antibiotics
01110
Biosynthesis of secondary
Enzyme
2.1.1.-
2D structure
Wireframe
Stick
Ball & Stick
Use mouse scroll to zoom in/out and right click for more options
Reactions Involving This Metabolite (KEGG)
R11434
← Back to Home