MetaVault
Home
List of Compounds
MetaVault | Metabolites database
Explore detailed information on metabolites including formula, pathways, and enzymes.
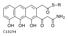
Nonaketamide tricyclic intermediate
MDBID
MDB00704
Formula
C
19
H
14
NO
6
SR
Pathway
00253
Tetracycline biosynthesis
01057
Biosynthesis of type II polyketide products
01100
Metabolic pathways
01110
Biosynthesis of secondary
Enzyme
2D structure
Wireframe
Stick
Ball & Stick
Use mouse scroll to zoom in/out and right click for more options
Reactions Involving This Metabolite (KEGG)
R09188
R09196
← Back to Home