MetaVault
Home
List of Compounds
MetaVault | Metabolites database
Explore detailed information on metabolites including formula, pathways, and enzymes.
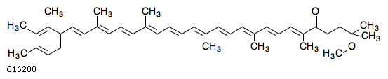
Okenone
MDBID
MDB00315
Formula
C
41
H
54
O
2
Pathway
00906
Carotenoid biosynthesis
01110
Biosynthesis of secondary
Enzyme
1.3.99.40
2D structure
Wireframe
Stick
Ball & Stick
Use mouse scroll to zoom in/out and right click for more options
Reactions Involving This Metabolite (KEGG)
R07849
← Back to Home