MetaVault
Home
List of Compounds
MetaVault | Metabolites database
Explore detailed information on metabolites including formula, pathways, and enzymes.
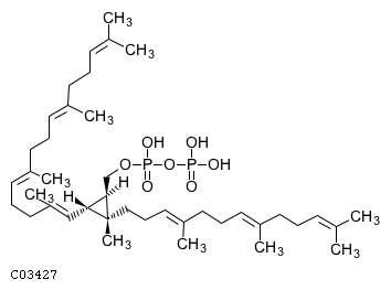
Prephytoene diphosphate
MDBID
MDB00286
Formula
C
40
H
68
O
7
P
2
Pathway
00906
Carotenoid biosynthesis
01100
Metabolic pathways
01110
Biosynthesis of secondary
Enzyme
2.5.1.32 2.5.1.148
2D structure
Wireframe
Stick
Ball & Stick
Use mouse scroll to zoom in/out and right click for more options
Reactions Involving This Metabolite (KEGG)
R02065
R04218
R07270
R12280
← Back to Home