MetaVault | Metabolites database

Explore detailed information on metabolites including formula, pathways, and enzymes.

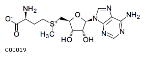
S-Adenosyl-L-methionine;

MDBID MDB00476
Formula C15H22N6O5S
Pathway
00261Monobacta
00270Cysteine and
00330Arginine and proline
00670One carbon pool by folate
00908Zeatin biosynthesis
00999Biosynthesis of various plant secondary
01060Biosynthesis of plant secondary
01070Biosynthesis of plant hor
01100Metabolic pathways
01110Biosynthesis of secondary
01230Biosynthesis of a
01240Biosynthesis of cofactors
04122Sulfur relay syste
04148Efferocytosis
04981Folate transport and
Enzyme 1.1.98.7 1.1.99.38 1.3.98.3 1.3.98.6
2D structure GIF of S-Adenosyl-L-methionine;
Use mouse scroll to zoom in/out and right click for more options
Reactions Involving This Metabolite (KEGG)
R00075 R00177 R00178 R00179 R00367 R00380 R00594 R00595 R00596 R00597 R00598 R00599 R00600 R00601 R00649 R00650 R00683 R00827 R00984 R01078 R01153 R01159 R01169 R01188 R01189 R01190 R01235 R01239 R01269 R01320 R01349 R01721 R01883 R01942 R01972 R01973 R02037 R02056 R02144 R02155 R02157 R02174 R02379 R02384 R02533 R02534 R02572 R02623 R02627 R02667 R02671 R02808 R02858 R02859 R02862 R02882 R02910 R02917 R02920 R02931 R02961 R02982 R03003 R03019 R03072 R03111 R03112 R03130 R03194 R03229 R03231 R03304 R03366 R03410 R03411 R03424 R03456 R03472 R03554 R03571 R03587 R03623 R03633 R03701 R03721 R03725 R03726 R03731 R03746 R03788 R03805 R03832 R03835 R03875 R03922 R03934 R03938 R03943 R03948 R03950 R03955 R04013 R04033 R04062 R04077 R04145 R04169 R04190 R04237 R04301 R04332 R04396 R04398 R04421 R04427 R04436 R04481 R04496 R04505 R04691 R04692 R04705 R04707 R04710 R04711 R04713 R04714 R04715 R04716 R04717 R04718 R04719 R04762 R04763 R04764 R04772 R04858 R04866 R04867 R04881 R04887 R04905 R04931 R04981 R04988 R04994 R05035 R05122 R05123 R05149 R05162 R05179 R05180 R05181 R05182 R05211 R05212 R05213 R05214 R05216 R05219 R05303 R05323 R05520 R05532 R05673 R05674 R05676 R05754 R05757 R05759 R05760 R05763 R05764 R05776 R05808 R05809 R05810 R05811 R05813 R05834 R05881 R05885 R06268 R06269 R06270 R06427 R06439 R06456 R06476 R06477 R06478 R06479 R06564 R06574 R06575 R06576 R06577 R06578 R06627 R06675 R06680 R06687 R06693 R06703 R06713 R06715 R06719 R06767 R06771 R06774 R06778 R06794 R06807 R06815 R06816 R06824 R06868 R06869 R06895 R06998 R07232 R07233 R07234 R07236 R07237 R07238 R07239 R07240 R07241 R07242 R07243 R07244 R07251 R07330 R07331 R07375 R07481 R07501 R07504 R07521 R07524 R07527 R07529 R07533 R07535 R07722 R07724 R07750 R07767 R07773 R07774 R07775 R07917 R07919 R07920 R07921 R07922 R08004 R08147 R08151 R08236 R08239 R08246 R08410 R08437 R08441 R08446 R08449 R08455 R08465 R08467 R08468 R08469 R08537 R08538 R08547 R08583 R08588 R08769 R08771 R08781 R08787 R08788 R08789 R08791 R08794 R08803 R08804 R08873 R08875 R08893 R08932 R08933 R08939 R08940 R08973 R08987 R09063 R09072 R09073 R09177 R09189 R09191 R09369 R09370 R09371 R09394 R09523 R09543 R09569 R09611 R09612 R09613 R09637 R09639 R09678 R09679 R09736 R09737 R09791 R09792 R09821 R09822 R09823 R09856 R09870 R09871 R09872 R09939 R09940 R10060 R10061 R10062 R10166 R10167 R10168 R10169 R10195 R10196 R10197 R10198 R10199 R10204 R10220 R10246 R10250 R10251 R10252 R10306 R10307 R10403 R10404 R10431 R10437 R10447 R10448 R10449 R10450 R10451 R10452 R10454 R10455 R10472 R10491 R10492 R10495 R10497 R10498 R10523 R10524 R10526 R10529 R10552 R10586 R10587 R10588 R10605 R10606 R10611 R10645 R10646 R10647 R10649 R10650 R10651 R10652 R10658 R10667 R10680 R10709 R10710 R10716 R10806 R10812 R10824 R10881 R10956 R10957 R10958 R10959 R10962 R10963 R10964 R11020 R11041 R11045 R11112 R11165 R11191 R11192 R11193 R11216 R11217 R11218 R11219 R11220 R11221 R11230 R11274 R11275 R11292 R11293 R11294 R11371 R11413 R11416 R11445 R11452 R11453 R11469 R11476 R11484 R11494 R11507 R11508 R11509 R11520 R11521 R11533 R11534 R11545 R11546 R11580 R11595 R11670 R11681 R11685 R11686 R11692 R11697 R11698 R11699 R11700 R11710 R11731 R11740 R11778 R11779 R11780 R11797 R11798 R11799 R11800 R11919 R11934 R11935 R11936 R11953 R11954 R12002 R12011 R12138 R12157 R12158 R12161 R12162 R12213 R12238 R12239 R12262 R12263 R12264 R12336 R12341 R12414 R12423 R12424 R12443 R12447 R12458 R12497 R12524 R12569 R12632 R12657 R12666 R12667 R12724 R12750 R12753 R12788 R12842 R12843 R12844 R12854 R12917 R12918 R12919 R12928 R12929 R13107 R13123 R13130 R13131 R13180 R13182 R13236 R13339 R13356 R13357 R13358 R13373 R13375 R13410 R13411 R13412 R13413 R13414 R13415 R13427 R13428 R13435
← Back to Home