MetaVault | Metabolites database

Explore detailed information on metabolites including formula, pathways, and enzymes.

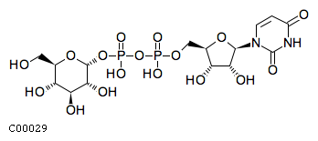
UDP-glucose;

MDBID MDB00471
Formula C15H24N2O17P2
Pathway
00040Pentose and glucuronate interconversions
00052Galactose
00053Ascorbate and aldarate
00500Starch and sucrose
00541Biosynthesis of various nucleotide sugars
00561Glycerolipid
00908Zeatin biosynthesis
01051Biosynthesis of ansa
01060Biosynthesis of plant secondary
01100Metabolic pathways
01110Biosynthesis of secondary
01240Biosynthesis of cofactors
01250Biosynthesis of nucleotide sugars
Enzyme 1.1.1.22 1.1.1.- 2.4.1.11 2.4.1.12
2D structure GIF of UDP-glucose;
Use mouse scroll to zoom in/out and right click for more options
Reactions Involving This Metabolite (KEGG)
← Back to Home