MetaVault
Home
List of Compounds
MetaVault | Metabolites database
Explore detailed information on metabolites including formula, pathways, and enzymes.
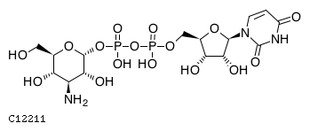
UDP-kanosamine;
MDBID
MDB00590
Formula
C
15
H
25
N
3
O
16
P
2
Pathway
00524
Neo
01051
Biosynthesis of ansa
01110
Biosynthesis of secondary
01250
Biosynthesis of nucleotide sugars
Enzyme
2.4.1.301 2.4.1.- 2.6.1.-
2D structure
Wireframe
Stick
Ball & Stick
Use mouse scroll to zoom in/out and right click for more options
Reactions Involving This Metabolite (KEGG)
R06586
R06587
R10424
R10425
R10426
R10427
R11278
← Back to Home