MetaVault
Home
List of Compounds
MetaVault | Metabolites database
Explore detailed information on metabolites including formula, pathways, and enzymes.
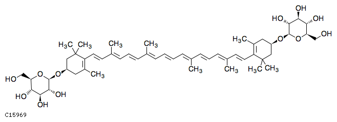
Zeaxanthin diglucoside;
MDBID
MDB00367
Formula
C
52
H
76
O
12
Pathway
00906
Carotenoid biosynthesis
01110
Biosynthesis of secondary
Enzyme
2.4.1.276
2D structure
Wireframe
Stick
Ball & Stick
Use mouse scroll to zoom in/out and right click for more options
Reactions Involving This Metabolite (KEGG)
R07574
← Back to Home