MetaVault
Home
List of Compounds
MetaVault | Metabolites database
Explore detailed information on metabolites including formula, pathways, and enzymes.
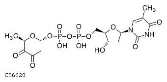
dTDP-3,4-dioxo-2,6-dideoxy-D-glucose;
MDBID
MDB00878
Formula
C
16
H
22
N
2
O
14
P
2
Pathway
00523
Polyketide sugar unit biosynthesis
01055
Biosynthesis of vanco
01100
Metabolic pathways
01110
Biosynthesis of secondary
01250
Biosynthesis of nucleotide sugars
Enzyme
1.1.1.384 1.1.1.- 2.6.1.- 4.2.1.159
2D structure
Wireframe
Stick
Ball & Stick
Use mouse scroll to zoom in/out and right click for more options
Reactions Involving This Metabolite (KEGG)
R05518
R05526
R06443
R06631
R08927
R11034
R11051
← Back to Home