MetaVault
Home
List of Compounds
MetaVault | Metabolites database
Explore detailed information on metabolites including formula, pathways, and enzymes.
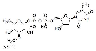
dTDP-3-O-methyl-beta-L-rhamnose
MDBID
MDB00676
Formula
C
17
H
28
N
2
O
15
P
2
Pathway
00523
Polyketide sugar unit biosynthesis
01059
Biosynthesis of enediyne antibiotics
01110
Biosynthesis of secondary
Enzyme
2.1.1.- 2.4.1.-
2D structure
Wireframe
Stick
Ball & Stick
Use mouse scroll to zoom in/out and right click for more options
Reactions Involving This Metabolite (KEGG)
R11422
R11423
R11469
← Back to Home