MetaVault
Home
List of Compounds
MetaVault | Metabolites database
Explore detailed information on metabolites including formula, pathways, and enzymes.
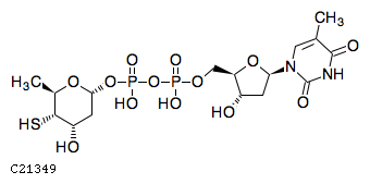
dTDP-4-deoxy-4-thio-alpha-D-digitoxose
MDBID
MDB00669
Formula
C
16
H
26
N
2
O
13
P
2
S
Pathway
00523
Polyketide sugar unit biosynthesis
01059
Biosynthesis of enediyne antibiotics
01110
Biosynthesis of secondary
Enzyme
2.4.1.-
2D structure
Wireframe
Stick
Ball & Stick
Use mouse scroll to zoom in/out and right click for more options
Reactions Involving This Metabolite (KEGG)
R11418
R11470
← Back to Home