MetaVault | Metabolites database

Explore detailed information on metabolites including formula, pathways, and enzymes.

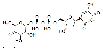
dTDP-4-oxo-6-deoxy-D-glucose;

MDBID MDB00877
Formula C16H24N2O15P2
Pathway
00521Strepto
00523Polyketide sugar unit biosynthesis
00525Acarbose and valida
00541Biosynthesis of various nucleotide sugars
01055Biosynthesis of vanco
01100Metabolic pathways
01110Biosynthesis of secondary
01250Biosynthesis of nucleotide sugars
Enzyme 1.1.1.266 1.1.1.- 2.6.1.33 2.6.1.59
2D structure GIF of dTDP-4-oxo-6-deoxy-D-glucose;
Use mouse scroll to zoom in/out and right click for more options
Reactions Involving This Metabolite (KEGG)
← Back to Home