MetaVault
Home
List of Compounds
MetaVault | Metabolites database
Explore detailed information on metabolites including formula, pathways, and enzymes.
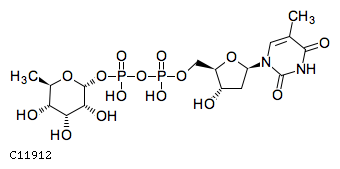
dTDP-6-deoxy-D-allose;
MDBID
MDB00514
Formula
C
16
H
26
N
2
O
15
P
2
Pathway
00522
Biosynthesis of 12-, 14- and 16-
00523
Polyketide sugar unit biosynthesis
01100
Metabolic pathways
01110
Biosynthesis of secondary
01250
Biosynthesis of nucleotide sugars
Enzyme
1.1.1.364 2.4.1.317 2.4.1.-
2D structure
Wireframe
Stick
Ball & Stick
Use mouse scroll to zoom in/out and right click for more options
Reactions Involving This Metabolite (KEGG)
R06438
R06451
R10573
R10874
← Back to Home