MetaVault
Home
List of Compounds
MetaVault | Metabolites database
Explore detailed information on metabolites including formula, pathways, and enzymes.
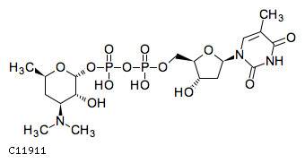
dTDP-D-desosamine;
MDBID
MDB00515
Formula
C
18
H
31
N
3
O
13
P
2
Pathway
00522
Biosynthesis of 12-, 14- and 16-
00523
Polyketide sugar unit biosynthesis
01100
Metabolic pathways
01110
Biosynthesis of secondary
01250
Biosynthesis of nucleotide sugars
Enzyme
2.1.1.234 2.4.1.277 2.4.1.278 2.4.1.-
2D structure
Wireframe
Stick
Ball & Stick
Use mouse scroll to zoom in/out and right click for more options
Reactions Involving This Metabolite (KEGG)
R05531
R06427
R06457
R06460
R06461
R10876
← Back to Home