MetaVault
Home
List of Compounds
MetaVault | Metabolites database
Explore detailed information on metabolites including formula, pathways, and enzymes.
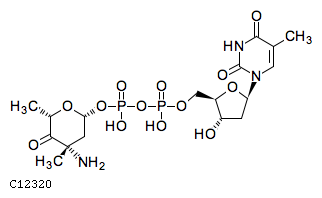
dTDP-L-4-oxovancosamine
MDBID
MDB00881
Formula
C
17
H
27
N
3
O
13
P
2
Pathway
01055
Biosynthesis of vanco
01100
Metabolic pathways
01110
Biosynthesis of secondary
01250
Biosynthesis of nucleotide sugars
Enzyme
5.1.3.-
2D structure
Wireframe
Stick
Ball & Stick
Use mouse scroll to zoom in/out and right click for more options
Reactions Involving This Metabolite (KEGG)
R06628
R06629
R06630
← Back to Home