MetaVault
Home
List of Compounds
MetaVault | Metabolites database
Explore detailed information on metabolites including formula, pathways, and enzymes.
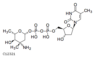
dTDP-L-epivancosamine;
MDBID
MDB00882
Formula
C
17
H
29
N
3
O
13
P
2
Pathway
01055
Biosynthesis of vanco
01100
Metabolic pathways
01110
Biosynthesis of secondary
01250
Biosynthesis of nucleotide sugars
Enzyme
2.4.1.311
2D structure
Wireframe
Stick
Ball & Stick
Use mouse scroll to zoom in/out and right click for more options
Reactions Involving This Metabolite (KEGG)
R06629
R10595
← Back to Home