MetaVault
Home
List of Compounds
MetaVault | Metabolites database
Explore detailed information on metabolites including formula, pathways, and enzymes.
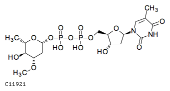
dTDP-L-oleandrose
MDBID
MDB00574
Formula
C
17
H
28
N
2
O
14
P
2
Pathway
00522
Biosynthesis of 12-, 14- and 16-
00523
Polyketide sugar unit biosynthesis
01100
Metabolic pathways
01110
Biosynthesis of secondary
01250
Biosynthesis of nucleotide sugars
Enzyme
2.4.1.-
2D structure
Wireframe
Stick
Ball & Stick
Use mouse scroll to zoom in/out and right click for more options
Reactions Involving This Metabolite (KEGG)
R06484
R06485
R06486
R06487
R06488
R06489
R06490
R06491
R06492
R06493
R06494
R06495
R06496
R06497
R06498
R06499
R11042
← Back to Home