MetaVault
Home
List of Compounds
MetaVault | Metabolites database
Explore detailed information on metabolites including formula, pathways, and enzymes.
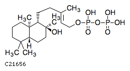
ent-8alpha-Hydroxylabd-13-en-15-yl diphosphate
MDBID
MDB00272
Formula
C
20
H
38
O
8
P
2
Pathway
00904
Diterpenoid biosynthesis
01110
Biosynthesis of secondary
Enzyme
4.2.1.173 4.2.3.186
2D structure
Wireframe
Stick
Ball & Stick
Use mouse scroll to zoom in/out and right click for more options
Reactions Involving This Metabolite (KEGG)
R11820
R11851
← Back to Home